Home Editors' Picks Raising the minimum wage won’t break the economy, but it will help...

Raising the minimum wage won’t break the economy, but it will help fix what’s broken

Yellow Pad

The debate over the proposed P100 or P200 minimum wage hike has reignited familiar objections from business groups, a number of economists, and the government’s economic managers themselves. “[Enterprises] may increase prices of goods and/or services, reduce their workforce, or worse shut down operations altogether, affecting both employees and the broader economy,” according to a joint statement by the economic managers of President Ferdinand “Bongbong” Marcos, Jr.

But do these warnings reflect what actually happens when wages go up?

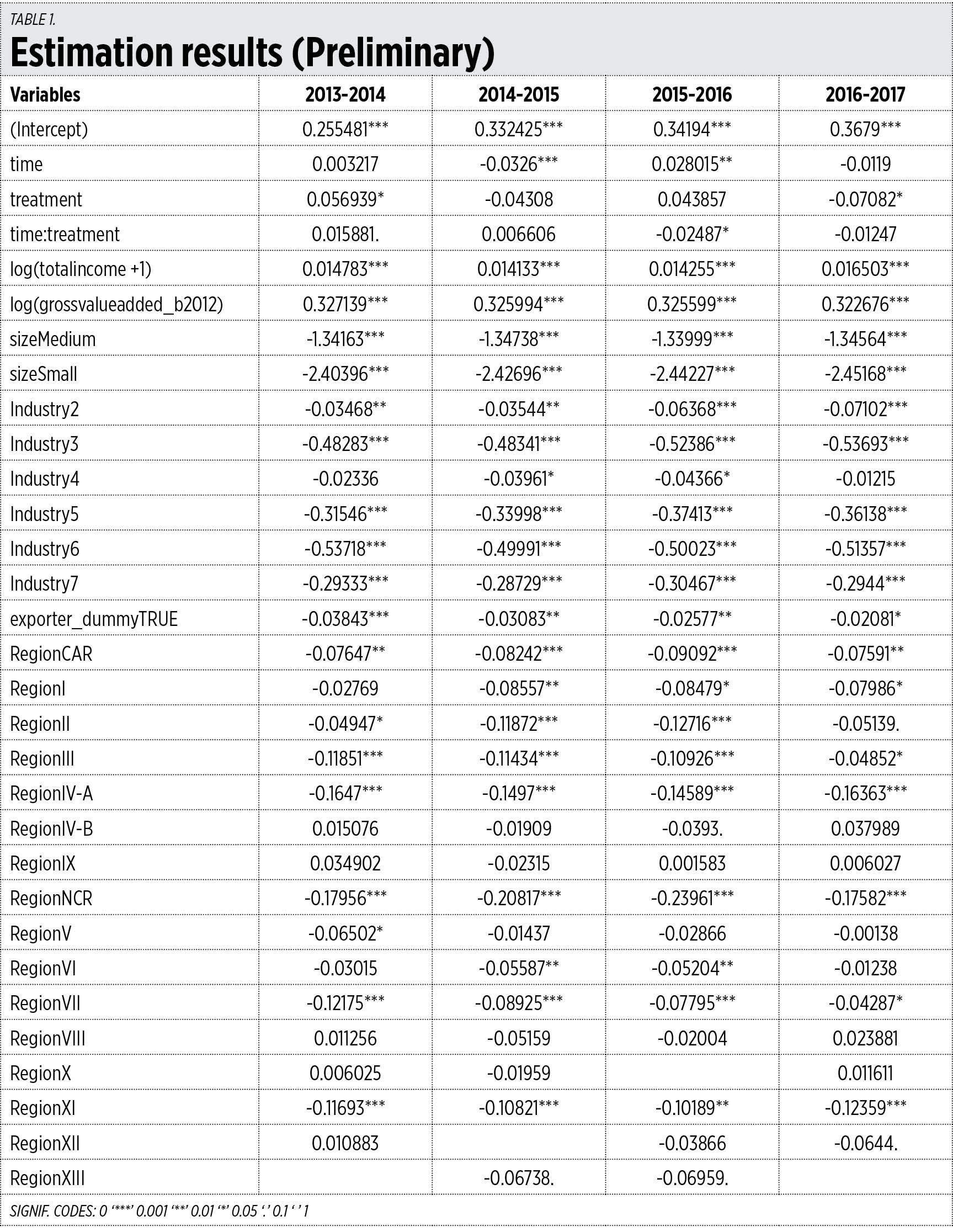
Growing empirical evidence from research here and abroad suggests more nuanced outcomes, disproving the sweeping claim of the economic managers. To quote our own study at the UP School of Labor and Industrial Relations (UP SOLAIR), the impact of new wage orders on employment is mixed. In 2013-14, wage increases had a positive impact on employment. Meanwhile in 2015-16, the impact was negative. In other periods, the impact was insignificant.” (See: “Measuring the Impact of Wage Hikes on Employment and Inflation,” UP SOLAIR, https://solair.upd.edu.ph/impact-of-wage-hikes-on-employment-and-inflation/.)

The idea that wage hikes inevitably cause unemployment or inflation is rooted in outdated theory and overly simplistic textbook models, not real-world data.

To test the claims, we conducted two empirical analyses, one on employment using firm-level data, and the other on inflation, using national and regional economic data. To estimate the impact of wage hikes on jobs, we used a Difference-in-Difference model on firm-level data from the Annual Survey of Philippine Business and Industry from 2013 to 2017. To assess effects on prices, we applied a vector autoregression model using quarterly real wages and Consumer Price Index (CPI) data from 2003 to 2020, with both series transformed into stationary form by differencing their log values.

Let’s begin with jobs. Using a difference-in-difference regression model, we compared employment outcomes in regions that raised the minimum wage with those that didn’t. We controlled for firm size, income, industry, value added, and export orientation.

Our analysis found no consistent evidence that wage hikes lead to job losses (See Table 1). In most years, the employment effects were statistically insignificant, and in some years, even positive. Only one period showed a small decline. Taken with other similar studies, the results reinforce a broader empirical agreement, a near consensus, that wage hikes do not necessarily cause unemployment. In fact, some studies show that a hike in minimum wage can also increase employment.

This finding reflects a global shift in economic thinking. For example, a comprehensive review by the economists Arindajit Dube and Ben Zipperer found that 90% of modern studies show no or only minimal job loss after minimum wage increases. The review affirms the pioneering study, using the difference-in-difference methodology, of 2021 Nobel prize winner David Card and the late Alan Krueger that suggests minimum wage hikes do not lead to job losses and may even result in increased employment.

What about inflation? We studied the effect of wage shocks on prices using a vector autoregression model, using quarterly data on wages from the Labor Force Survey and price levels as measured by the CPI between 2003 and 2020. The impulse response analysis showed that changes in wage hikes had a very small and statistically insignificant impact on inflation. (See Figure 1)

In fact, wage hikes often lag inflation rather than lead it. Policymakers tend to act only after a prolonged erosion of purchasing power, meaning wage adjustments are typically reactive, not inflationary.

This mirrors findings from other studies like that of Bangko Sentral ng Pilipinas researcher Faith Christian Cacnio in 2017 and from other countries, where moderate wage hikes had only minimal effects on prices, and sometimes even led to lower prices. While wage increases can contribute to elevated unit labor costs for firms, the inflationary impact of wage growth can be offset by increasing productivity, especially in the Philippines where labor has long been underpriced.

This brings us to the bigger picture.

The argument that minimum wage hikes benefit “just workers” at the expense of “the economy” is misleading and disconnected. It ignores that the workers are the lifeblood of the economy, a reality that should have been made apparent during the pandemic. Workers are essential and it is essential we grant them a wage recovery.

In fact, depressed wages have been a crutch for the Philippine economy for too long. Firms have relied too heavily on cheap labor. And the state has been lacking in providing the quality and accessible social services such as healthcare and education which are necessary to build our human capital. This is not a model for long-term competitiveness.

The wage hike proposals in Congress, P200 in the House and P100 in the Senate, are not radical. In 1989, Congress legislated an across-the-board wage increase of P25, amounting to a 40% rise in national wages at the time. There was no crisis. The P200 proposal represents a smaller 31% increase for the National Capital Region and is made even more reasonable by provisions for small business support.

More importantly, a minimum wage hike is only a starting point. We must pair this policy with a serious commitment to industrial policy: to raise productivity, support labor-augmenting (not labor-replacing) innovation, and improve competitiveness. Raising wages should be seen as a catalyst to push firms and the government to finally invest in real economic transformation, instead of relying on poverty wages to prop up the fragile status quo.

The case for a minimum wage hike is not confined to adjusting salaries to inflation. It is about restoring fairness in how we share the productivity gains. Since 2001, labor productivity has grown steadily in the Philippines, but real wages have remained stagnant. (See Figure 2) Workers have not received their fair share of the fruits of their labor.

This disconnect is not due to a lack of hard work and productivity, but to a lack of bargaining power. For too long, firms and employers have wielded disproportionate power in the labor market, suppressing wages below what workers truly contribute. The ivory-tower competitive wage theory assumes a level playing field, but the reality is far from it. Labor power is weak. And business owners have great power over the determination of wages; a monopsony. A meaningful wage hike is therefore a just and timely correction.

Workers deserve to live with dignity, and not merely to survive. We should collectively aspire towards building an economy that is just, resilient, and based on shared prosperity.

Wage hikes won’t break the economy. But they will help fix what’s been broken for far too long.

 

The authors also co-wrote of “Measuring the Impact of Wage Hikes on Employment and Inflation,” UP SOLAIR https://solair.upd.edu.ph/impact-of-wage-hikes-on-employment-and-inflation/. Czar Joseph Castillo is a graduate student, formerly a labor policy researcher. AJ Montesa is the fiscal policy program officer of Action for Economic Reforms. Benjamin Velasco is an assistant professor at the UP Diliman School of Labor and Industrial Relations.